高压并联电容器的过电压及防护技术

出处: 学修网 发布于:2022-02-26 06:24:54浏览(11760)

高压并联电容器的过电压及防护技术

电网中装设高压并联电容器以改善功率因数,维持运行电压,提高输变电设备输送容量和降低线路损耗。但如运行电压过高,会危及设备和安全运行。有多种因素引起稳态电压升高,下面将进行分析。
  
1 稳态电压的升高
  (1) 电容器装置接入电网后引起电网电压升高。设升高的系数为K1,其值按下面方法计算:  

ΔU≈UZM.Qc/Sd
  K1=(UCG+ΔU)/UCG

ΔU为电压升高值(kV);Uzm为电容器装置未投入时母线电压(kV);Qc为接入母线的电容器总容量(Mvar);Sd为电容器装置安装处母线短路容量(MVA);UCG为电容器正常工作电压。
  例如某220 kV变电站,10 kV母线短路容量350 MVA,每组串联600 kvar,6%电抗器1台,装4组电容器,每组7 800 kvar,则:

  (2) 电容器组接入电抗器后,电容器端电压升高。设升高的系数为K2,其值按下面方法计算。
  三相电容器回路一般不存在偶次谐波,由于电源变压器有一侧为三角形结线,三次谐波在这个低阻抗线圈中循环流动,不流入电网,只要电容器母线上没有谐波源,很少有三次谐波,电容器组投入运行后应测试一下以便验证。
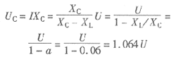
  电容器组串联电抗器可消除谐振、改善谐波电压、降低合闸涌流。电容器的选择主要是对占份量最大的5次谐波,设经串联电抗器后恰能消谐,即  

5ωL-1/(5ωC)=0

解得感、容阻抗比为

XL=ωL=1/(52ωC)=0.04Xc。

  为了在所有高次谐波出现时,串联电抗器应足以消谐,使感抗值大于容抗值,可引用可靠系数1.5,则XL=1.5×0.04X?C=0.06Xc。
  电容器端子上电压:

  即K2=U?C/U=1.064U/U=1.064,电容器端子上电压高出母线电压6.4%。
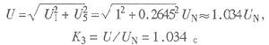
  (3) 电容器组如不装串联电抗器,则谐波引起电容器端子电压升高的系数为K3,计算式可从傅里叶级数得知,非正弦电压有效值计算如下:  

式中 U1为基波电压分量的有效值;UM为第M次谐波电压分量的有效值。
  设U1的数值等于额定电压UN,5次谐波电压U?5的数值为26.45%U?N。那么


  (4) 电容器组相间电容差值引起过电压的系数K?4可按下面的分析计算。
  中性点不接地的星形结线电容器组由于三相电容不平衡引起中性点位移,使电压升高。为此应尽量缩小差值,在安装前,应抄录每台电容器电容量并编号,将其分成电容量差不大于5%的三个组。对于单星形或双星形的电容器组,每组如有两个臂,应使对应臂电容接近相等。经仔细操作可以做到三相电容差值小于2%。此时
  K4=1+ΔC/(3C+ΔC)=0.05C/(3C+0.05C)+1=1+0.05/(3+0.05)=1.016
式中 C为每相电容值;ΔC为相电容差值。
  (5) 并联电容器组在运行过程中,由于电容器内部故障被熔断切除后,故障段中剩余的健全电容器端子所承受电压也将升高。设升高的系数为K5,可按下面分析计算。
  电容器组无论采用三角形结线或星形结线,每相都可以由一段或多段电容器串联为相当的电压等级,各段又由若干台电容器并联,组成所需容量的电容器组。例如35 kV系统可用两段10.5 kV的电容器串联后,接成星形;66 kV系统可用两段19 kV的电容器或三段12.7 kV的电容器串联后接成星形。
  电容器使用台数应大于允许使用的最小并联台数,最小并联台数的计算公式见表1。不同安全系数K时,应小于最大并联台数。每段中电容器最大并联台数M?max见表2。
  故障段健全电容器端子上承受的工频过电压计算公式见表1。例如某220 kV变电站装设4组每组

表1 升压系数K5及最小并联台数的计算公式表

并联电容器组接线方式 故障段健全电容器端子上承受的
工频过电压系数K5=UGD/U?CG
最小并联台数
Mmin的计算公式
当K=1时的最小并联台数
1 2 3 4 5

三角形及中性点接地星形接线

MN/[MN-P(N-1)] ≥11(N-1)/3N(11-10K) 1 6 8 9 9
采用三倍零序电压及电压差动保护的中性点不接地单星形接线和采用中性点不平衡电压保护的中性点不接地单星形接线 3MN/[3MN-P(3N-2)] ≥11(3N-2)/3N(11-10K) 4 8 9 10 10
采用桥式差电流保护的中性点不接地单星形接线 3MN/[3MN-2P(3N-4)] ≥11(6N-8)/3N(11-10K) - 8 - 15 -
采用中性点不平衡电流保护的中性点不接地双星形接线 6MN/[6MN-P(6N-5)] ≥11(6N-5)/6N(11-10K) 2 7 8 9
  注:UGD为故障段中健全电容器端子上承受的电压;
  M为每个串联段中电容器的并联台数;
  P为串联段中切除故障电容器台数;
  UCG为电容器正常工作电压;
  N为串联段数;
  K为安全系数,可取0.5~0.75。

表2 不同K时,每段电容器的最大并联台数
 

额定容量
/kF
额定电压
/kV
不同K时的Mmax
0.75 0.5
 25 113 114 76
10.5 114 76
100 113  29 19
10.5  29 19
300 113  10  7
10.5  9  6
7 800 kvar电容器,采用中性点不平衡电流保护的中性点不接地双星形结线。此时M=13,N=1,P=1,过电压系数为K5,查表知
K5=6MN/[6MN-P.(6N-5)]=6×13×1/[6×13×1-1×(6×1-5)]=1.013(每组)。

   此外,系统电压的调整,可根据需要投切电容器或用计算机控制有载调压变压器的分节开关,由于操作时间短,规程规定为1.15Ue。对轻负荷时电压升高,规程也另有规定,即不超过1.2~1.3Ue,此值超过过电保护定值,可以自动切除部分或全部电容器。故轻负荷电压升高也不在稳态过电压计算值内。
  上述各项综合过电压系数K=K1.K2.K3.K4.K5,如电容器组有串联电抗则K3=1。
  从以上计算得
  K=K1.K2.K3.K4.K5=1.089×1.064×1×1.016×1.013=1.19>1.1
稍微超过标准,为努力降低三相电容差值,求得合乎规程,尽量选择11 kV或12 kV代替10.5 kV,6.6 kV代替6.3 kV。

2 电容器组过电压及避雷器
2.1 电弧重燃过电压
  开关分闸过程中,会形成电弧重燃过电压。设开关在电压最大值,电流过零时电弧熄灭,电容器处于充电状态,其电压保持在系统电压的最高值。此时开关触头间的电压,一侧为电容器电压,另一侧为电源电压,电源变为负的最大值时,触头间的电压为电源电压的2倍。假如开关弹跳或分闸速度慢且灭弧性能不好,开关弧隙绝缘恢复的速度低于恢复电压增长的速度,则开关弧隙将被击穿,这时形成电弧重燃,它的过电压可达额定值的4.5~5倍。
2.2 避雷器的选择
  只要电源不是架空线路引入,保护电容器的避雷器最好采用氧化锌避雷器。因为普通阀型避雷器在过电压值低于避雷器的放电电压时,冲击过电压使电容器充电。直到过电压值达到避雷器的放电电压时,阀型避雷器的间隙被击穿,这时电容器将对避雷器放电。由于电容器与避雷器间阻抗很低,雷电流和电容器放电电流的综合值很大,有可能损坏电容器和避雷器,故一般避雷器不能满足电容器的要求。目前多采用具有残压低、通流大、时间响应快、能连续动作、寿命又长的氧化锌避雷器。
2.3 电容器组断开时的过电压及避雷器的配置
  投入电容器组产生的合闸过电压一般不大于额定电压的2倍,没有分闸时大,按后者考虑即能满足共同要求。下面分析避雷器的几种接线情况。
  (1) 避雷器接在相—地间,如图1所示,接法简单,使用率高,但某种情况下满足不了绝缘配合的要求。例如电弧重燃产生高频电流,设A相重燃,A相电源经A相电容和中性点电容C?N接通形成振荡回路,出现过电压。由于中性点电容远较主电容C为小,则C?N阻抗大分压也大,过电压将出现在中性点电容C?N上,其值可达定值的4.5倍。为此需要在中性点处配置氧化锌避雷器。如果发生一相接地,接地相电容器将承受对地过电压值的2/3。比健全相上的电容器过电压高得多,超过过电压倍数不超过2倍的要求。再者是两相保护元件残压之和,起不到限制相间过电压的作用。


图1 避雷器相—地间接线图

  (2) 避雷器接在相—中—地间,如图2所示。其特点是保护元件直接并接在电容器极间,各相电容器过电压由各自并联的保护避雷器来限制,保护配合直接,不受其它因素影响。而且对串联电抗器上的过电压也可以起到限制作用。这种接线的两中性点的连接线要求对地绝缘,否则电容器组变成中性点接地系统。串联电抗接在电容器与避雷器之间。
  (3) 三角形接法的电容器组的避雷器接法采用4台避雷器(如图3)。

图2 避雷器相—中—地接线图


图3 三角形接法的电容器组的避雷器接法

作者简介:
  张玲(1964-),女,讲师,现从事电力系统过电压研究与教学工作。
作者单位:(太原电力高等专科学校,山西 太原 030013)

参考文献

〔1〕 东北电管局编.电力电容器[M].北京:中国工人出版社,1985
〔2〕 西南电力设计院编.并联电容器装置设计技术规程[M].SDJ25-85.北京:水利电力出版社,1985
〔3〕 严维华.并联电容器装置中电容器并联台数的确定[M].电世界,1985(6)
〔4〕 李方云.并联补偿电容器组用FYR1系列氧化锌避雷器[J].电世界,1985(12)
〔5〕 陈慈宣.保护无功补偿电容器组的氧化锌避雷器的分析与计算[J].电世界,1987(3)

声明:本文为原创文章,如需转载,请注明来源学修网