变压器的工作原理、分类及其结构

出处: 学修网 发布于:2022-02-26 06:27:39浏览(11400)

  变压器是一种静止电器,它通过线圈间的电磁感应,将一种电压等级的交流电能转换成同频率的另一种电压等级的交流电能。确切地说,它具有变压、变流、变换阻抗和隔离电路的作用。变压器(Transformer)是利用电磁感应的原理来改变交流电压的装置,主要构件是初级线圈、次级线圈和铁芯(磁芯)。主要功能有:电压变换、电流变换、阻抗变换、隔离、稳压(磁饱和变压器)等。按用途可以分为:电力变压器和特殊变压器(电炉变、整流变、工频试验变压器、调压器、矿用变、音频变压器、中频变压器、高频变压器、冲击变压器、仪用变压器、电子变压器、电抗器、互感器等)。

  

  变压器的发展历史:

  法拉第在1831年8月29日发明了一个“电感环”,称为“法拉第感应线圈”,实际上是世界上第一只变压器雏形。但法拉第只是用它来示范电磁感应原理,并没有考虑过它可以有实际的用途。

  1881年,路森·戈拉尔(Lucien Gaulard)和约翰·狄克逊·吉布斯(John Dixon Gibbs)在伦敦展示一种称为“二次手发电机”的设备,然后把这项技术卖给了美国西屋公司, 这可能是第一个实用的电力变压器,但并不是最早的变压器。1884年,路森·戈拉尔和约翰·狄克逊·吉布斯在采用电力照明的意大利都灵市展示了他们的设备。早期变压器采用直线型铁心,后来被更有效的环形铁心取代。

  变压器的工作原理、分类及其结构

  西屋公司的工程师威廉·史坦雷从乔治·威斯汀豪斯、路森·戈拉尔与约翰·狄克逊·吉布斯买来变压器专利以后,在1885年制造了第一台实用的变压器。后来变压器的铁心由E型的铁片叠合而成,并于1886年开始商业运用。变压器变压原理首先由法拉第发现,但是直到十九世纪80年代才开始实际应用。在发电场应该输出直流电和交流电的竞争中,交流电能够使用变压器是其优势之一。变压器可以将电能转换成高电压低电流形式,然后再转换回去,因此大大减小了电能在输送过程中的损失,使得电能的经济输送距离达到更远。如此一来,发电厂就可以建在远离用电的地方。世界大多数电力经过一系列的变压最终才到达用户那里的。

  变压器的基本结构:

  变压器的基本结构分为四个部分:

  ①铁心—变压器的磁路;

  ②绕组—变压器的电路;

  ③绝缘结构;

  ④油箱等其它部分。

  (1)铁心

  铁心由铁心柱和铁轭两部分组成。变压器的主磁路,为了提高导磁性能和减少铁损,用厚为0.35-0.5mm、表面涂有绝缘漆的热轧或冷轧硅钢片叠成。

  变压器的工作原理、分类及其结构

  变压器的铁心中,每片硅钢片为拼接片。在叠片时,采用叠接式,即将上下两层叠片的接缝错开,可缩小接缝间隙,以减小励磁电流。如下图所示。

  变压器的工作原理、分类及其结构

  当采用冷轧硅钢片时,应用斜切钢片的叠装方法,可提高导磁系数,降低损耗。

  叠装好的铁心其铁轭用槽钢(或焊接夹件)及螺杆固定。铁心柱则用环氧无纬玻璃丝粘带绑扎。

  铁心柱的截面在小型变压器中采用方形。在容量较大的变压器中,采用阶梯形截面。

  铁轭的截面有矩形及阶梯形的,其截面一般比铁心柱截面大(5~10)%,以减小空载电流和空载损耗。

  (2)绕组

  绕组是变压器的电路,一般用绝缘铜线或铝线(扁线或圆线)绕制而成。

  下图所示有两组:一个绕组与电源相连,称为一次绕组(或原绕组),这一侧称为一次侧(或原边);另一个绕组与负载相连,称为二次绕组(或副绕组),这一侧称为二次侧(或副边)。

  变压器的工作原理、分类及其结构

  对于三相变压器,根据两组绕组的相对位置,绕组可分为同心式和交叠式两种,如以下两图所示。

  变压器的工作原理、分类及其结构

  同心式绕组

  变压器的工作原理、分类及其结构

  交迭式绕组

  根据绕组和铁心的相对位置,变压器有壳式结构和心式结构两种,如以下两图所示。

  变压器的工作原理、分类及其结构

  变压器的工作原理、分类及其结构

  (3)其它结构部件

  如下图所示,油浸式电力变压器的结构中还包括油箱、绝缘套管、储油柜、安全气道等。

  变压器的工作原理、分类及其结构

  变压器的分类:

  1、按相数分:

  (1)单相变压器:用于单相负荷和三相变压器组。

  (2)三相变压器:用于三相系统的升、降电压。

  2、按冷却方式分:

  (1)干式变压器:依靠空气对流进行自然冷却或增加风机冷却,多用于高层建筑、高速收费站点用电及局部照明、电子线路等小容量变压器。

  (2)油浸式变压器:依靠油作冷却介质、如油浸自冷、油浸风冷、油浸水冷、强迫油循环等。

  3、按用途分:

  (1)电力变压器:用于输配电系统的升、降电压。

  (2)仪用变压器:如电压互感器、电流互感器、用于测量仪表和继电保护装置。

  (3)试验变压器:能产生高压,对电气设备进行高压试验。

  (4)特种变压器:如电炉变压器、整流变压器、调整变压器、电容式变压器、移相变压器等。

  4、按绕组形式分:

  (1)双绕组变压器:用于连接电力系统中的两个电压等级。

  (2)三绕组变压器:一般用于电力系统区域变电站中,连接三个电压等级。

  (3)自耦变电器:用于连接不同电压的电力系统。也可做为普通的升压或降后变压器用。

  5、按铁芯形式分:

  (1)芯式变压器:用于高压的电力变压器。

  (2)非晶合金变压器:非晶合金铁芯变压器是用新型导磁材料,空载电流下降约80%,是节能效果较理想的配电变压器,特别适用于农村电网和发展中地区等负载率较低地方。

  (3)壳式变压器:用于大电流的特殊变压器,如电炉变压器、电焊变压器;或用于电子仪器及电视、收音机等的电源变压器。

  变压器的工作原理:

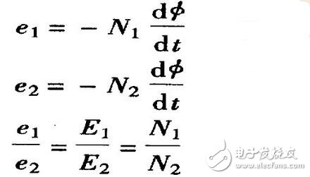
  变压器的主要部件是一个铁心和套在铁心上的两个绕组。两绕组只有磁耦合没电联系。在一次绕组中加上交变电压,产生交链一、二次绕组的交变磁通,在两绕组中分别感应电动势e1、e2。根据电磁感应定律可写出电动势的瞬时方程式:

  变压器的工作原理、分类及其结构

  变压器的工作原理、分类及其结构

  铁心的作用是加强两个线圈间的磁耦合。为了减少铁内涡流和磁滞损耗,铁心由涂漆的硅钢片叠压而成;两个线圈之间没有电的联系,线圈由绝缘铜线(或铝线)绕成。一个线圈接交流电源称为初级线圈(或原线圈),另一个线圈接用电器称为次级线圈(或副线圈)。实际的变压器是很复杂的,不可避免地存在铜损(线圈电阻发热)、铁损(铁心发热)和漏磁(经空气闭合的磁感应线)等,为了简化讨论这里只介绍理想变压器。理想变压器成立的条件是:忽略漏磁通,忽略原、副线圈的电阻,忽略铁心的损耗,忽略空载电流(副线圈开路原线圈线圈中的电流)。例如电力变压器在满载运行时(副线圈输出额定功率)即接近理想变压器情况。

  变压器是利用电磁感应原理制成的静止用电器。当变压器的原线圈接在交流电源上时,铁心中便产生交变磁通,交变磁通用φ表示。原、副线圈中的φ是相同的,φ也是简谐函数,表为φ=φmsinωt。由法拉第电磁感应定律可知,原、副线圈中的感应电动势为e1=-N1dφ/dt、e2=-N2dφ/dt。式中N1、N2为原、副线圈的匝数。由图可知U1=-e1,U2=e2(原线圈物理量用下角标1表示,副线圈物理量用下角标2表示),其复有效值为U1=-E1=jN1ωΦ、U2=E2=-jN2ωΦ,令k=N1/N2,称变压器的变比。由上式可得U1/ U2=-N1/N2=-k,即变压器原、副线圈电压有效值之比,等于其匝数比而且原、副线圈电压的位相差为π。

  进而得出:U1/U2=N1/N2

  在空载电流可以忽略的情况下,有

  I1/ I2=-N2/N1

  即原、副线圈电流有效值大小与其匝数成反比,且相位差π。

  进而可得I1/ I2=N2/N1理想变压器原、副线圈的功率相等P1=P2。

  说明理想变压器本身无功率损耗。实际变压器总存在损耗,其效率为η=P2/P1。电力变压器的效率很高,可达90%以上。

声明:本文为原创文章,如需转载,请注明来源学修网